Selasa, 17 April 2012
Observasi Restaurant
The sections of workers in the restaurant
1. Owner of the restaurant:
Giving money to shoppers to buy food, drinks ingredients, and cleaning tools that will be given to the
cleaning service, dishwashing, and chef.
Giving money to shoppers to buy food, drinks ingredients, and cleaning tools that will be given to the
cleaning service, dishwashing, and chef.
2. Manager:
As the right-hand restaurant owner who oversees the employees and to accept criticism and suggestions
from customers.
As the right-hand restaurant owner who oversees the employees and to accept criticism and suggestions
from customers.
3. treasurer:
organizing and managing the restaurant finances (income and expenditure)
organizing and managing the restaurant finances (income and expenditure)
4. cashier:
Receive money from the buyer and provide for change (if the customer has the rest of the money).
Receive money from the buyer and provide for change (if the customer has the rest of the money).
5. chef:
Cooking food and making drinks to customers. Food and beverages received from shoppers.
Cooking food and making drinks to customers. Food and beverages received from shoppers.
6. Cleaning service:
Cleaning and arranging the room.
Cleaning and arranging the room.
7. a parking:
tidy bike and car customers
tidy bike and car customers
8. Shopper:
Buy food and drinks for the chef. Purchase equipment for the cleaning service cleaning and dishwashing.
Buy food and drinks for the chef. Purchase equipment for the cleaning service cleaning and dishwashing.
9. waiter:
Deliver to the customer menu and pick up food equipment that is used
Deliver to the customer menu and pick up food equipment that is used
10. Buyer or customer:
Order and buy food.
Order and buy food.
Function-Input-Proses-Output
play function: restaurant owner (Azalia)
call function : manager, the message delivered to the manager (Listy)
input : control of the employees held a regular meeting with the head chef and all talk about
problems related to facilities and other things for the betterment of restaurant.
return value : provide good performance to the restaurant
input : control of the employees held a regular meeting with the head chef and all talk about
problems related to facilities and other things for the betterment of restaurant.
return value : provide good performance to the restaurant
call function : the treasurer, the message delivered to the treasurer (nani)
input : ask for some money to the treasurer
return value : give some money around five million dollars
input : ask for some money to the treasurer
return value : give some money around five million dollars
call function : food buyer officer (ayi)
input : receive an amount of about five million dollars
process : a motorcycle to visit a food market and shopping needs, after we came home.
output : we've got all the ingredients of food (vegetables, meat, fish, fruits, etc.)
input : receive an amount of about five million dollars
process : a motorcycle to visit a food market and shopping needs, after we came home.
output : we've got all the ingredients of food (vegetables, meat, fish, fruits, etc.)
call funcition : cleaning service, the message delivered to the cleaning service
input : ask for a cleaning service to clean the kitchen and set the other restaurant.(Krisna)
process : the process of cleaning the kitchen (sweeping, mopping, and organize space)
input : ask for a cleaning service to clean the kitchen and set the other restaurant.(Krisna)
process : the process of cleaning the kitchen (sweeping, mopping, and organize space)
call function : chef (Nurul)
input : accept food that has been purchased by a qualified buyer
process : prepare equipment and materials, then cut up food, then food is cooked until ready to serve
food.
output : cooked food ready to serve to customers
input : accept food that has been purchased by a qualified buyer
process : prepare equipment and materials, then cut up food, then food is cooked until ready to serve
food.
output : cooked food ready to serve to customers
call function : waitress (Rashid)
input : receiving orders from customers
process : the waiter gave orders to the chef menus, chef and cooking orders.
output : deliver meals are cooked to the customer
input : receiving orders from customers
process : the waiter gave orders to the chef menus, chef and cooking orders.
output : deliver meals are cooked to the customer
call function : counter (lia)
input : the customer to give some money to the cashier according to the price of food ordered
process : calculate the price of food customers by using computer payment.
output : provide receipt of payment to customers
input : the customer to give some money to the cashier according to the price of food ordered
process : calculate the price of food customers by using computer payment.
output : provide receipt of payment to customers
call function : customer (dita)
new object : visitor
input : the waiter, a message sent to the waiter (ask for a list of food and beverage menu, then
order food and drinks).
output : get food and drinks were ordered.
new object : visitor
input : the waiter, a message sent to the waiter (ask for a list of food and beverage menu, then
order food and drinks).
output : get food and drinks were ordered.
call function : a parking (adi)
input : tidy bike valet customers
output : make money from customers
input : tidy bike valet customers
output : make money from customers
Naration
first there is the owner of the restaurant manager to assign tasks to merekap, organizeand coordinate pegai the restaurant. then the manager asked for or took money from the treasurer at the restaurant to give to pegai who served as a staple for food buyersand so on (such as vegetables, meat, fish, fruits, etc.). clear before cooking, the kitchenmust be clean first and then the manager ordered the cleaning service to clean thekitchen and other restaurant and restaurant set in a neat and clean.
after the food has been purchased and a full time chef to cook all the food after cookingand restaurant chefs are ready to clean the restaurant opened.
then the customers come and park the car. then smoothed valet car parking place.customers into the restaurant to choose a seat where he feels comfortable. call a waiterto select menu. waitress gives a list menu, then the customer select the desired menuand the waiter noted food and beverage orders.
then the customers come and park the car. then smoothed valet car parking place.customers into the restaurant to choose a seat where he feels comfortable. call a waiterto select menu. waitress gives a list menu, then the customer select the desired menuand the waiter noted food and beverage orders.
after waiter deliver the ordered list of subscribers to the menu chef. then the chefcooking food to order. after chef gave to waiters and waitresses deliver orders to customers, and customers enjoy the dish is given.
after eating the food, the customer pays the cashier and receive a refund if any. cashierto receipt of payment to customers. and the customer left the restaurant feeling satisfiedwith the service and food.
The names of members of the observation
Observasi Restoran dengan C++
#include<iostream.h>
#include<conio.h>
main() {
int i,pil,tothrg,byr,hrg,jml,kmb;
char menu;
cout<<"Warung Cak Kar\n";
cout<<"Menu Makanan Harga\n";
for (i=0; i<32; i++)
cout<<"-";
cout<<endl;
cout<<"1. Sate Kelinci Rp.15000\n";
cout<<"2. Ayam Kremes Rp.12000\n";
cout<<"3. Coto Makassar Rp.12000\n";
cout<<"4. Lontong Sayur Rp.13500\n";
cout<<"5. Rendang Daging Rp.18000\n";
cout<<"6. Es Teh Manis Rp.2500\n";
cout<<"7. Es Jeruk Rp.3500\n";
cout<<endl;
cout<<"Pilihan Anda adalah : ";
cin>>pil;
if (pil==1)
hrg=15000;
if (pil==2)
hrg=12000;
if (pil==3)
hrg=12000;
if (pil==4)
hrg=13500;
if (pil==5)
hrg=18000;
if (pil==6)
hrg=2500;
if (pil==7)
hrg=3500;
cout<<endl;
cout<<"Menu Pilihan\n";
for (i=0; i<22; i++)
cout<<"-";
cout<<endl;
cout<<endl;
if (pil==1)
cout<<"Sate Kelinci\n";
if (pil==2)
cout<<"Ayam Kremes\n";
if (pil==3)
cout<<"Coto Makassar\n";
if (pil==4)
cout<<"Lontong Sayur\n";
if (pil==5)
cout<<"Rendang Daging\n";
if (pil==6)
cout<<"Es Teh Manis\n";
if (pil==7)
cout<<"Es Jeruk\n";
cout<<endl;
cout<<"Jumlah yang Dipesan : ";
cin>>jml;
tothrg = jml * hrg;
cout<<"Harga Total : Rp. "<<tothrg<<endl;
cout<<"Dibayar : Rp. ";
cin>>byr;
kmb = byr - tothrg;
cout<<"Uang Kembalian : Rp. "<<kmb<<endl;
getch ();
}
#include<conio.h>
main() {
int i,pil,tothrg,byr,hrg,jml,kmb;
char menu;
cout<<"Warung Cak Kar\n";
cout<<"Menu Makanan Harga\n";
for (i=0; i<32; i++)
cout<<"-";
cout<<endl;
cout<<"1. Sate Kelinci Rp.15000\n";
cout<<"2. Ayam Kremes Rp.12000\n";
cout<<"3. Coto Makassar Rp.12000\n";
cout<<"4. Lontong Sayur Rp.13500\n";
cout<<"5. Rendang Daging Rp.18000\n";
cout<<"6. Es Teh Manis Rp.2500\n";
cout<<"7. Es Jeruk Rp.3500\n";
cout<<endl;
cout<<"Pilihan Anda adalah : ";
cin>>pil;
if (pil==1)
hrg=15000;
if (pil==2)
hrg=12000;
if (pil==3)
hrg=12000;
if (pil==4)
hrg=13500;
if (pil==5)
hrg=18000;
if (pil==6)
hrg=2500;
if (pil==7)
hrg=3500;
cout<<endl;
cout<<"Menu Pilihan\n";
for (i=0; i<22; i++)
cout<<"-";
cout<<endl;
cout<<endl;
if (pil==1)
cout<<"Sate Kelinci\n";
if (pil==2)
cout<<"Ayam Kremes\n";
if (pil==3)
cout<<"Coto Makassar\n";
if (pil==4)
cout<<"Lontong Sayur\n";
if (pil==5)
cout<<"Rendang Daging\n";
if (pil==6)
cout<<"Es Teh Manis\n";
if (pil==7)
cout<<"Es Jeruk\n";
cout<<endl;
cout<<"Jumlah yang Dipesan : ";
cin>>jml;
tothrg = jml * hrg;
cout<<"Harga Total : Rp. "<<tothrg<<endl;
cout<<"Dibayar : Rp. ";
cin>>byr;
kmb = byr - tothrg;
cout<<"Uang Kembalian : Rp. "<<kmb<<endl;
getch ();
}
Rekursif dengan C++
#include <iostream.h>
#include <conio.h>
class Balik{
friend istream& operator>>(istream&, Balik&);
friend ostream& operator<<(ostream&, Balik&);
public:
void balik_kata();
void balik(int s);
private:
char kata[50];
int n;
};
void Balik::balik_kata(){//iteratif
cout<<"Masukkan Kata Yang Akan Dibalik : ";
cin>>kata;n=strlen(kata);
//strrev(kata);
cout<<"Kata Setelah Dibalik : ";
balik(n);
}
void Balik::balik(int s){//rekursif
if (s != -1){
cout<<kata[s];
balik(s-1);
}
}
int main()
{
Balik X;
X.balik_kata();
// X.balik(char *s);
system ("Pause");
return EXIT_SUCCESS;
}
#include <conio.h>
class Balik{
friend istream& operator>>(istream&, Balik&);
friend ostream& operator<<(ostream&, Balik&);
public:
void balik_kata();
void balik(int s);
private:
char kata[50];
int n;
};
void Balik::balik_kata(){//iteratif
cout<<"Masukkan Kata Yang Akan Dibalik : ";
cin>>kata;n=strlen(kata);
//strrev(kata);
cout<<"Kata Setelah Dibalik : ";
balik(n);
}
void Balik::balik(int s){//rekursif
if (s != -1){
cout<<kata[s];
balik(s-1);
}
}
int main()
{
Balik X;
X.balik_kata();
// X.balik(char *s);
system ("Pause");
return EXIT_SUCCESS;
}
Perkalian dengan C++
#include <cstdlib>
#include <iostream>
using namespace std;
class kali{
friend istream& operator>>(istream&, kali&);
friend ostream& operator<<(ostream&, kali&);
public:
kali();
int proses(int a, int b);
int output();
private:
int a,b,i;
int hasil;
};
kali::kali(){
cout<<”menghitung hasil perkalian a dan b menggunakan operator penjumlahan”<<endl;
}
istream& operator>>(istream& in, kali& masukan){
cout<<”masukan bilangan a:”;
in>>masukan.a;
cout<<”akan dikali dengan b:”;
in>>masukan.b;
}
int kali::proses(int a, int b){
int i,hasil=0;
for (i=1;i<=b;i++)
hasil=hasil+a;
return(hasil);
}
int kali::output(){
hasil=proses(a,b);
cout<<”Nilai”<<a<<”x”<<b<<”=”<<hasil;
return hasil;
}
int main()
{
kali x;
cin>>x;
x.output();
cout<<endl<<endl;
system(“PAUSE”);
return EXIT_SUCCESS;
}
outputnya:
Convert Desimal ke Binary
mau buat program konversi bilangan desimal ke biner? untuk konsep perhitungannya misal dimasukkan bilangan desimal(n)=12:
1). 12 dibagi 2 =6 sisa 0
2). 6 dibagi 2=3 sisa 0
3). 3 dibagi 2=1 sisa 1
4). 1 dibagi 2=0 sisa 1
maka 12 desimal=1100 biner
programnya:
#include <cstdlib>
#include <iostream>
using namespace std;
class biner{
friend istream& operator>>(istream&, biner&);
friend ostream& operator<<(ostream&, biner&);
public:
biner();
void masukan();
void proses();
void keluar();
private:
int data[100],c,n;
};
biner::biner(){
cout<<”program mengkonversi bilangan desimal ke biner”<<endl;
}
istream& operator>>(istream& in, biner& masukan){
cout<<”masukan desimal:”;
in>>masukan.n;
}
void biner::proses(){
int i;
i=0;c=0;
while(n!=1){
data[i]=n%2;
n=n/2;i=i+1;c=c+1;
}
}
void biner::keluar(){
cout<<”hasil biner adalah :”<<1;
for(int i=c-1;i>=0;i–){
cout<<data[i];}
}
int main(){
biner a;
cin>>a;
a.proses();
a.keluar();
cout<<endl;
system(“PAUSE”);
return EXIT_SUCCESS;
}
hasil outputnya:
Menghitung Volume dan Luas Permukaan Kubus
#include <iostream.h>
#include <conio.h>
class Hitung{
friend ostream& operator << (ostream& ,const Hitung&);
friend istream& operator << (istream& , Hitung&);
public:
Hitung();
void Hitung_v(){v=(s*s*s);}
void Hitung_lp(){lp=(6*s*s);}
private:
double s,v,lp;
};
Hitung::Hitung(){
cout<<"program menghitung volume dan luas permukaan kubus"<<endl;
}
istream& operator>>(istream& in, Hitung& masukan){
cout<<"masukkan nilai s:";
in>>masukan.s;
return in;
}
ostream& operator<<(ostream& out, const Hitung& keluaran){
out<<"volume="<<keluaran.v<<endl;
out<<"luas permukaan="<<keluaran.lp<<endl;
return out;
}
main(){
Hitung x;
cin>>x;
x.Hitung_v();
x.Hitung_lp();
cout<<x;
getch();
}
Flowchartnya :

Pengertian Algoritma
Algoritma merupakan tahapan-tahapan untuk mencapai hasil. Jadi Algoritma
tidak selalu berhubungan dengan Ilmu Komputer. Misalkan cara membuat
cake. Pertama kita harus mempersiapkan adonan cake. Kemudian apabila
adonan tersebut telah jadi, panaskan oven. Kemudian taruh adonan cake
tersebut kedalam Loyang yang telah dioleskan mentega dan ditaburi
sedikit tepung. Apabila adonan tersebut telah dimasukkan kedalam
Loyang,masukkan Loyang yang berisi adonan cake tersebut kedalam oven
yang telah di tentukan suhunya tadi. Tunggulah kira-kira setengah jam.
Maka adonan cake tersebut akan menjadi kue cake. Di sini saya bukan
membahas tentang kue cake, tapi saya hanya memberi gambaran logis
tentang pengertian Algoritma yang sebenarnya. Yang dapat kita ambil dari
contoh di atas adalah untuk menghasilkan sesuatu,maka diperlukan
proses. Proses tersebut terdiri dari tahapan-tahapan yang logis. Jadi
menurut pemikiran saya,secara umum Inti dari algoritma adalah
tahapan-tahapan logis yang harus dipenuhi untuk mencapai suatu hasil.
Sekarang saya akan membahas Algoritma menurut pengertian ilmu Komputer.
Algoritma dalam ilmu Komputer adalah urut-urutan yang logis dan tepat
untuk memecahkan permasalahan yang menggunakan Komputer dengan bahasa
pemrograman yang telah ditentukan seperti bahasa pascal, Visual Basic,
C, atau yang lainnya. Untuk membuat sebuah program, seseorang harus
memiliki daya pikir yang bagus. Dan untuk menghasilkan sebuah program
yang berbeda dengan yang lainnya, maka orang tersebut harus memiliki
kreativitas. Kata Algoritma berasal dari bahasa arab yaitu Algorism yang
berarti proses menghitung dengan angka arab. Sedangkan Algorist adalah
orang yang menghitung dengan menggunakan angka arab. Sebenarnya,
Algoritma itu sendiri berasal dari nama seorang ahli matematika dari
Uzbekistan yaitu Abu Abdullah Muhammad Ibn Musa al-Khwarizmi yang dibaca
oleh orang barat menjadi Algorism. Kata Kunci Pengertian algoritma,
arti algoritma, pengertian algoritma dan pemrograman, algoritma adalah,
pengertian algoritma dan contohnya, pengertian alogaritma, pengertian
algoritma dan struktur data, PENGERTIAN DARI ALGORITMA, pengrtian
algoritma, definisi algoritma dan pemrograman.
Menampilkan bilangan yang habis dibagi 5 dan 7 antara 1 sampai 100 dengan C++
#include <iostream>
#include <string>
using namespace std;
class Bagi{
friend istream& operator>>(istream&, Bagi &);
friend ostream& operator<<(ostream&, Bagi&);
public:
Bagi();
void proses();
int bagi(int a);
private:
int a;
};
Bagi::Bagi(){
cout<<"Menampilkan bilangan yang habis dibagi 5 dan 7 antara 1 sampai 100"<<endl;
}
void Bagi::proses(){
a =1;
while (!(a>100)){
if (a % 5==0 & a % 7==0){
cout << a << endl;
}else{}
a =a+1;
}
}
int Bagi::bagi (int a){
if (a>100){
}else
{
if (a % 5==0 && a % 7==0)
{
cout << a << endl; }
else
{}bagi(a+1);
}
}
int main(){
Bagi X;
X.proses();
X.bagi(1);
system("pause");
return 0;
}
Menentukan Apakah Bangun Persegi or Persegi Panjang dengan C++
#include<iostream.h>
#include<conio.h>
class susah{
friend istream& operator>>(istream&, susah&);
public:
susah(){};
void bedakan(){
if ((2*p+2*l)%4==0){
cout<<"persegi";}
else{
cout<<"persegi panjang";}
}
private:
int p,l;
};
istream& operator>>(istream& in, susah& masukan){
cout<<"masukan panjang = ";
in>>masukan.p;
cout<<"masukan lebar = ";
in>>masukan.l;
return in;
}
main(){
susah masukan;
cin>>masukan;
masukan.bedakan();
getch();
}
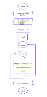
Menghitung Pangkat dengan C++
#include <conio.h>
#include <iostream.h>
using namespace std;
class Pangkat{
friend istream& operator>>(istream&, Pangkat&);
friend ostream& operator<<(ostream&, Pangkat&);
public:
Pangkat();
int proses(int x, int y);
int output();
private:
int x,y,i;
int hasil;
};
Pangkat::Pangkat(){
cout<<"Mencari X pangkat Y "<<endl;
}
istream& operator>>(istream& in, Pangkat& masukan){
cout<<"Masukan x : ";
in>>masukan.x;
cout<<"Masukan y : ";
in>>masukan.y;
}
int Pangkat::proses(int x,int y){
if (y==1)
return x;
else if (y==0)
return (1);
else
return x*proses(x,y-1);
}
int Pangkat::output(){
hasil = proses(x,y);
cout<<"Maka hasilnya adalah : "<<hasil;
return hasil;
}
int main()
{
Pangkat X;
cin>>X;
X.output();
cout<<endl<<endl;
getch();
}
C++ Menentukan Nama Bulan Dengan Inputan Angka
#include <iostream>
#include <string>
using namespace std;
int main()
{
string raptor_prompt_variable_zzyz;
int a;
raptor_prompt_variable_zzyz ="masukkan angka 1 sampai dengan 12 :";
cout << raptor_prompt_variable_zzyz << endl;
cin >> a;
if (a==1)
{
cout << "BULAN JANUARY" << endl; }
else
{
if (a==2)
{
cout << "BULAN FEBRUARY" << endl; }
else
{
if (a==3)
{
cout << "BULAN MARCH" << endl; }
else
{
if (a==4)
{
cout << "BULAN APRIL" << endl; }
else
{
if (a==5)
{
cout << "BULAN MAY" << endl; }
else
{
if (a==6)
{
cout << "BULAN JUNE" << endl; }
else
{
if (a==7)
{
cout << "BULAN JULY" << endl; }
else
{
if (a==8)
{
cout << "BULAN AUGUST" << endl; }
else
{
if (a==9)
{
cout << "BULAN SEPTEMBER" << endl; }
else
{
if (a==10)
{
cout << "BULAN OCTOBER" << endl; }
else
{
if (a==11)
{
cout << "BULAN NOVEMBER" << endl; }
else
{
if (a==12)
{
cout << "BULAN DECEMBER" << endl; }
else
{
cout << "INPUTAN SALAH" << endl; }
}
}
}
}
}
}
}
}
}
}
}
system ("PAUSE");
return EXIT_SUCCESS;
}
Jumat, 13 April 2012
Senin, 09 April 2012
Refleksi Alpro 7
minggu ini gak bisa ikut makul alpro seperti biasa coz waktu otw kjogja motorku mogok dprambanan. terpaksa harus izin yg disampaikan temanku.
materi minggu ini array dan menjelaskan tentang kisi-kisi UTS,yah besok bisa minta ajarin temen yg array,lagipula kelompok kerja ku dikelas juga berhasil menyelesaikan program yg bagus.
materi minggu ini array dan menjelaskan tentang kisi-kisi UTS,yah besok bisa minta ajarin temen yg array,lagipula kelompok kerja ku dikelas juga berhasil menyelesaikan program yg bagus.
refleksi Alpro 6
pada minggu ini membahas tentang fungsi rekursif. Fungsi rekursif yaitu fungsi yang melakukan proses perulangan dengan cara memanggil dirinya sendiri, berbeda dengan fungsi iteratif yang menggunakan perulangan for,while,do-while.
dengan cara pemanggilan :
while (d>0)
r =c%d
c =d
d =r
return c
contoh diberikan nilai c =18 dan d =12 maka ;
c d r
18 12 6
12 6 0
6 0
diakhir kuliah diadakan game yang masih bersangkutan dengan fungsi rekursi.
dengan cara pemanggilan :
while (d>0)
r =c%d
c =d
d =r
return c
contoh diberikan nilai c =18 dan d =12 maka ;
c d r
18 12 6
12 6 0
6 0
diakhir kuliah diadakan game yang masih bersangkutan dengan fungsi rekursi.
Refleksi Alpro 5
pada minggu ini kelompok TP ku udah lebih baik dari minggu kemarin - kemarinnya. disini kita sudah menyelesaikan beberapa tugas - tugas dari kelompok kami sendiri dan kami pun bisa lebih paham tentang alpro. minggu ini tak ada presentasi tapi kelompok mentoring diberi tugas observasi restoran yaitu bagaimana hubungan antara bos,manajer,kasir,pembeli bahan,koki,OB dan pelayan.
ini hasil kerja kelompok mentoring kami =
ini hasil kerja kelompok mentoring kami =
THE SECTIONS OF
WORKERS IN THE RESTAURANT
1.
Owner Of The Restaurant
Giving money to shoppers to buy food, drinks ingredients, and cleaning tools that will be given to the cleaning service, dishwashing, and chef.
Giving money to shoppers to buy food, drinks ingredients, and cleaning tools that will be given to the cleaning service, dishwashing, and chef.
2.
Manager
As the right-hand restaurant owner who oversees the employees and to accept criticism and suggestions from customers.
As the right-hand restaurant owner who oversees the employees and to accept criticism and suggestions from customers.
3.
Treasurer
Organizing and managing the restaurant finances (income and expenditure)
Organizing and managing the restaurant finances (income and expenditure)
4.
Cashier
Receive money from the buyer and provide for change (if the customer has the rest of the money).
Receive money from the buyer and provide for change (if the customer has the rest of the money).
5.
Chef
Cooking food and making drinks to customers. Food and beverages received from shoppers.
Cooking food and making drinks to customers. Food and beverages received from shoppers.
6.
Cleaning Service
Cleaning
and arranging the room.
7.
Parking
Tidy bike and car customers
Tidy bike and car customers
8.
Shopper
Buy food and drinks for the chef. Purchase equipment for the cleaning service cleaning and dishwashing.
Buy food and drinks for the chef. Purchase equipment for the cleaning service cleaning and dishwashing.
9.
Waiter
Deliver to the customer menu and pick up food equipment that is used
Deliver to the customer menu and pick up food equipment that is used
10.
Buyer or Customer
Order and buy food.
Order and buy food.
FUNCTION-INPUT-PROSES-OUTPUT
1. play function = restaurant owner (Azalia)
call
function = manager, the message delivered to the manager
(Listy)
input = control of the employees held a regular meeting with the head chef and all talk about
problems related to facilities and other things for the betterment of restaurant.
return value = provide good performance to the restaurant
input = control of the employees held a regular meeting with the head chef and all talk about
problems related to facilities and other things for the betterment of restaurant.
return value = provide good performance to the restaurant
2. call function = the treasurer, the message delivered to the
treasurer (Nani)
input = ask for some money to the treasurer
return value = give some money around five million dollars.
input = ask for some money to the treasurer
return value = give some money around five million dollars.
3.
call
function = food buyer officer (Depi)
input = receive an amount of about five million dollars
process = a motorcycle to visit a food market and shopping needs, after we came home.
output = we've got all the ingredients of food (vegetables, meat, fish, fruits, etc.)
input = receive an amount of about five million dollars
process = a motorcycle to visit a food market and shopping needs, after we came home.
output = we've got all the ingredients of food (vegetables, meat, fish, fruits, etc.)
4.
call
funcition = cleaning service, the
message delivered to the cleaning service
input = ask for a cleaning service to clean the kitchen and set the other restaurant.(Krisna)
process = the process of cleaning the kitchen (sweeping, mopping, and organize space)
input = ask for a cleaning service to clean the kitchen and set the other restaurant.(Krisna)
process = the process of cleaning the kitchen (sweeping, mopping, and organize space)
5.
call
function = chef (Nurul)
input = accept food that has been purchased by a qualified buyer
process = prepare equipment and materials, then cut up food, then food is cooked until ready to serve food.
output = cooked food ready to serve to customers
input = accept food that has been purchased by a qualified buyer
process = prepare equipment and materials, then cut up food, then food is cooked until ready to serve food.
output = cooked food ready to serve to customers
6.
call
function = waitress (Rasyid)
input = receiving orders from customers
process = the waiter gave orders to the chef menus, chef and cooking orders.
output = deliver meals are cooked to the customer
input = receiving orders from customers
process = the waiter gave orders to the chef menus, chef and cooking orders.
output = deliver meals are cooked to the customer
7.
call
function = counter (Lia)
input = the customer to give some money to the cashier according to the price of food ordered
process = calculate the price of food customers by using computer payment.
output = provide receipt of payment to customers
input = the customer to give some money to the cashier according to the price of food ordered
process = calculate the price of food customers by using computer payment.
output = provide receipt of payment to customers
8.
call
function = customer (Dita)
new object = visitor
input = the waiter, a message sent to the waiter (ask for a list of food and beverage menu, then
order food and drinks).
output = get food and drinks were ordered.
new object = visitor
input = the waiter, a message sent to the waiter (ask for a list of food and beverage menu, then
order food and drinks).
output = get food and drinks were ordered.
9.
call
function = a parking (Adi)
input = tidy bike valet customers
output = make money from customers
input = tidy bike valet customers
output = make money from customers
NARATION
First
there is the owner of the restaurant manager to assign tasks to merekap,
organizeand coordinate pegai the restaurant. then the manager asked for or took
money from the treasurer at the restaurant to give to pegai who served as a
staple for food buyersand so on (such as vegetables, meat, fish, fruits, etc.).
clear before cooking, the kitchenmust be clean first and then the manager
ordered the cleaning service to clean thekitchen and other restaurant and
restaurant set in a neat and clean.
After
the food has been purchased and a full time chef to cook all the food after
cookingand restaurant chefs are ready to clean the restaurant opened. then the customers come and park the car. then smoothed valet car parking
place.customers into the restaurant to choose a seat where he feels
comfortable. call a waiterto select menu. waitress gives a list menu, then the
customer select the desired menuand the waiter noted food and beverage orders.
After
waiter deliver the ordered list of subscribers to the menu chef. then the
chefcooking food to order. after chef gave to waiters and waitresses deliver
orders to customers, and customers enjoy the dish is given.
After
eating the food, the customer pays the cashier and receive a refund if any.
cashierto receipt of payment to customers. and the customer left the restaurant
feeling satisfiedwith the service and food.
Langganan:
Komentar (Atom)








